Aadhunik Industries is a manufacturing group company. Aadhunik Industries is pioneer manufacturer of Oil-well Drilling and Frack or Fracking Chemicals in India. It has toll manufacturers and representatives in UAE, Europe, Canada & USA and agents & customers in all countries like USA, Canada, Europe, UAE, South Africa, Tanzania, Kenya, Egypt, Nigeria, Uganda, Turkey, Mexico, Brazil, Chile, Argentina, Malaysia, Thailand, Dubai etc.
Aadhunik and/or associated manufacturing units are REACH registered, ISO-9001, ISO-22000 HACCP certified.
Fracking Chemicals India ----- Contact ---- TranslateTranslate

DDAC THPS HRDP Citric Acid Solution Manufacturer Sodium Acetate, Ammonium Persulfate, Gel Breaker Manufacturer Coated Encapsulatrd Gel Breaker for Fracking H2S Scavanger, Scale Inhibitor, Zinc Chloride KCl Substitute Clay Stabilizer BHMT - PMPA Bis HexaMethylene Triamine Penta Methylene Phosphonic Acid

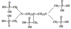
Oil Well Drilling Shale Gas Hydraulic Fracking Chemicals, BHMT - PMPA Phosphonate or Bis HexaMethylene Triamine Penta Methylene Phosphonic Acid Manufacturers

We are suppliers and manufacture of Shale Gas and Oil Well Fracking Drilling Chemicals including BHMT - PMPA Phosphonate or Bis HexaMethylene Triamine Penta Methylene Phosphonic Acid.

BHMTPMPA can be used as scale and corrosion inhibitor for oilfield water, industrial circulating cool water and boiler.

Specification:
AppearanceDark brown liquid
Active component %43.0-48.0
Chloride (Cl-)%8.0 max
Fe(as Fe3+)ppm65 max
density(20C)g/cm31.20 min
pH value (1% water solution)2.0 max

Fracking Chemicals Supplier

Aadhunik Industries
Ankleshwar Gujarat &, Mumbai, India
TEL: (OFFICE) 91-22-23774610, 23723564.

e-mail: info@aadhunikindustries.com

Copyright and Usual Disclaimer is Applicable. 21.07.2025

Manufacturers, Suppliers of Hydraulic Fracturing or Fracking Chemicals like BHMT

O My God.

They who love thee on this earth, keep calling on thee and chanting thy beads
Lest thou forgetest.
They assign the credit of their hard work to your blessings
They keep you amused.
They come to thy temple with baskets of fruits, as if you were a glutton
They deny the same to their children.
They offer you milk for a bath and burn the ghee
They hardly understand the meaning of it.
They bring gold and diamonds. They come with beating of drums
They love to advertise their offerings.
They offer you a small bribe as advance for booty, called lottery
They love to dream.